×
MindLuster Logo

MIT Physics III Vibrations and Waves

Track :

Science

Lessons no : 24

For Free Certificate After Complete The Course

To Register in Course you have to watch at least 30 Second of any lesson

Join The Course Go To Community Download Course Content

What will you learn in this course?
  • Understand the principles of simple harmonic motion and apply them to real-world vibrating systems
  • Analyze wave properties such as wavelength, frequency, and amplitude in various physical contexts
  • Calculate wave speed, frequency, and wavelength for different types of waves including sound and light
  • Differentiate between transverse and longitudinal waves and identify their characteristics in physical phenomena
  • Apply the wave equation to solve problems involving wave propagation and energy transfer
  • Describe the behavior of waves at boundaries, including reflection, refraction, and diffraction
  • Utilize mathematical tools to model vibrations and wave phenomena in physical systems
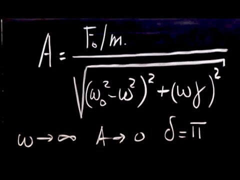
  • Assess the impact of damping and resonance on vibrations and wave behavior in engineering applications
  • Interpret experimental data related to vibrations and waves to draw meaningful conclusions
  • Develop practical skills in using laboratory equipment to observe and analyze vibrations and wave phenomena

How to Get The Certificate

  • You must have an account Register
  • Watch All Lessons
  • Watch at least 50% of Lesson Duration
  • you can follow your course progress From Your Profile
  • You can Register With Any Course For Free
  • The Certificate is free !
Lessons | 24


We Appreciate Your Feedback

Be the First One Review This Course

Excellent
0 Reviews
Good
0 Reviews
medium
0 Reviews
Acceptable
0 Reviews
Not Good
0 Reviews
0
0 Reviews

Ahmad Yasir Sahibi

nice
2026-02-03

Ali Zahed Sarwari

I really enjoyed the MIT Physics III course on Vibrations and Waves. The lectures were clear and well-structured, making complex concepts like wave interference, standing waves, and resonance easier to understand. I particularly appreciated the mix of theory and practical examples, which helped me see how the principles apply in real-world situations. The problem sets were challenging but rewarding, pushing me to think critically and deepen my understanding. Overall, this course strengthened my foundation in wave physics and has motivated me to explore more advanced topics in the field.
2025-10-11

RAMAMOHAN REDDY

Thanks For your valuable knowledge
2025-02-21

Boussada Ahmed Amine

THANKS
2025-02-09

Muhammad Arsal

Good
2024-07-25

Satpute Sanjyot Balaji

I like the way they teach
2023-03-02

Our New Certified Courses Will Reach You in Our Telegram Channel
Join Our Telegram Channels to Get Best Free Courses

Join Now

Related Courses

For a vibration to occur an object must repeat a movement during a time interval. A wave is a disturbance that extends from one place to another through space. Light and sound are vibrations that move through space -- they are waves!